参考资料:JAVA并发实现原理:JDK源码剖析 作者:余春龙
接下来我们说说JDK8中的实现。JDK8中比较重要的两个变化如下: 1. 取消了分段锁,所有数据存放在一个大的HashMap中 2. 引入了红黑树
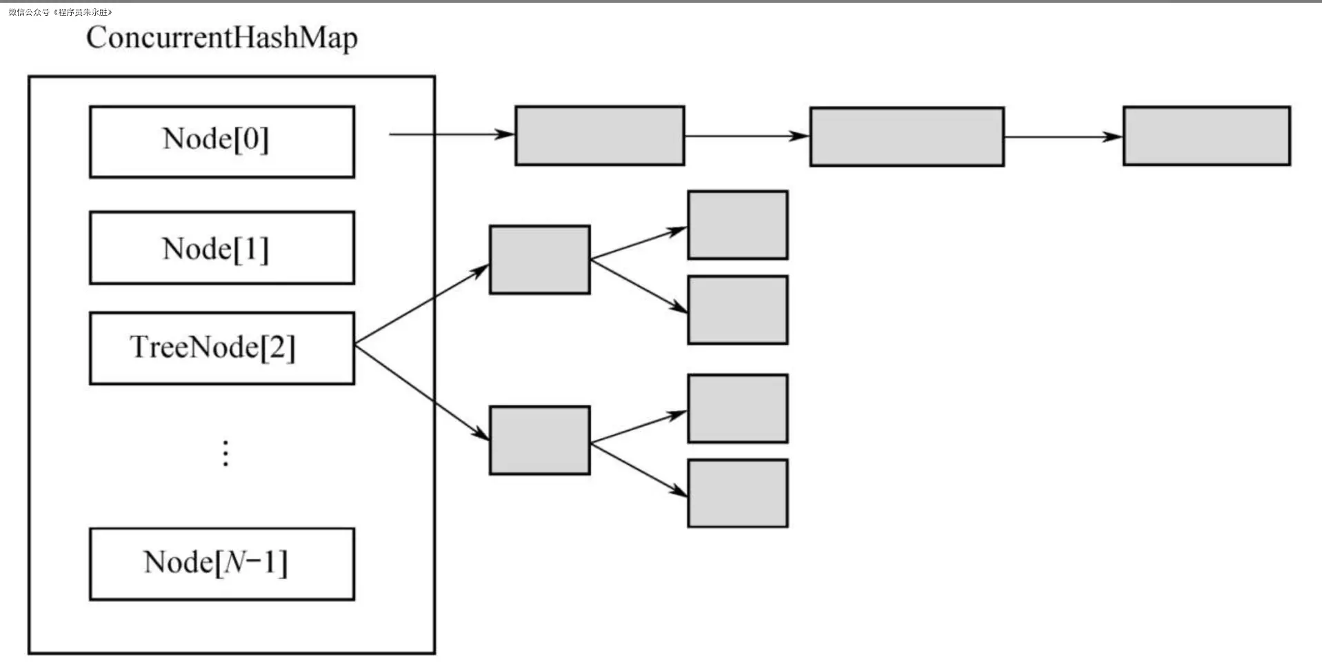
这里我们再回顾一下JDK7的实现原理图,对比JDK8实现原理
如果头节点是Node类型,则尾随它的就是一个普通的链表;如果头节点是TreeNode类型,它的后面就是一颗红黑树,TreeNode是Node的子类。
红黑树
在JDK 8中,HashMap的实现做了一些优化,其中之一是引入了链表和红黑树之间的相互转换规则。这一改变主要是为了提升在哈希冲突高的情况下的性能。在JDK 7及以前,HashMap的桶(bucket)中存储的是链表,这在哈希冲突较多时会导致性能退化为O(n)。JDK 8通过在适当的条件下将链表转换为红黑树来提升性能,使得最坏情况下的时间复杂度从O(n)降低到O(log n)。
在JDK 7中的分段锁,有三个好处: 1. 减少Hash冲突,避免一个槽里有太多元素。 2. 提高读和写的并发度。段与段之间相互独立。 3. 提供扩容的并发度。扩容的时候,不是整个ConcurrentHashMap 一起扩容,而是每个Segment独立扩容。 针对这三个好处,我们来看一下在JDK 8中相应的处理方式: 1. 使用红黑树,当一个槽里有很多元素时,其查询和更新速度会比链表快很多,Hash冲突的问题由此得到较好的解决。 2. 加锁的粒度,并非整个ConcurrentHashMap,而是对每个头节点分别加锁,即并发度,就是Node数组的长度,初始长度为16,和在JDK 7中初始Segment的个数相同。 3. 并发扩容,这是难度最大的。在JDK 7中,一旦Segment的个数在初始化的时候确立,不能再更改,并发度被固定。之后只是在每个Segment内部扩容,这意味着每个Segment独立扩容,互不影响,不存在并发扩容的问题。但在JDK 8中,相当于只有1个Segment,当一个线程要扩容Node数组的时候,其他线程还要读写,因此处理过程很复杂,后面会详细分析. 由上述对比可以总结出来:JDK 8的实现一方面降低了Hash冲突,另一方面也提升了并发度。
以下是链表和红黑树之间相互转换的规则:
链表转为红黑树的条件
链表长度达到阈值: 当一个桶中的链表长度超过阈值(默认值为8)时,会触发链表向红黑树的转换。这个阈值在
HashMap的源码中由TREEIFY_THRESHOLD常量定义,默认值为8。HashMap的大小超过最小树化容量: 当
HashMap的容量(size)超过最小树化容量(默认值为64)时,链表才会转换为红黑树。这个阈值在HashMap的源码中由MIN_TREEIFY_CAPACITY常量定义,默认值为64。
如果HashMap的容量没有超过MIN_TREEIFY_CAPACITY,即使桶中的链表长度超过了TREEIFY_THRESHOLD,HashMap也只会进行扩容(resize)而不会进行树化。
红黑树转为链表的条件
当红黑树中的节点数量减少到一定阈值(默认值为6)时,会将红黑树转换回链表。这个阈值在HashMap的源码中由UNTREEIFY_THRESHOLD常量定义,默认值为6。这是为了避免当节点较少时维护红黑树的额外开销。
源码分析
下面是HashMap源码中与链表和红黑树转换相关的部分代码:
// 转换链表为红黑树的阈值
static final int TREEIFY_THRESHOLD = 8;
// 转换红黑树为链表的阈值
static final int UNTREEIFY_THRESHOLD = 6;
// 最小树化容量
static final int MIN_TREEIFY_CAPACITY = 64;
void treeifyBin(Node<K,V>[] tab, int hash) {
int n, index; Node<K,V> e;
if (tab == null || (n = tab.length) < MIN_TREEIFY_CAPACITY)
resize();
else if ((e = tab[index = (n - 1) & hash]) != null) {
TreeNode<K,V> hd = null, tl = null;
do {
TreeNode<K,V> p = replacementTreeNode(e, null);
if (tl == null)
hd = p;
else {
p.prev = tl;
tl.next = p;
}
tl = p;
} while ((e = e.next) != null);
tab[index] = hd;
if (hd != null)
hd.treeify(tab);
}
}
final void untreeify(HashMap.Node<K,V>[] tab) {
HashMap.Node<K,V> b;
// 将红黑树转换回链表
for (TreeNode<K,V> e = first; e != null; e = e.next) {
HashMap.Node<K,V> newNode = newNode(e.hash, e.key, e.value, null);
if (b == null)
tab[index] = newNode;
else
b.next = newNode;
b = newNode;
}
}
在上面的代码中,treeifyBin方法负责将链表转换为红黑树,而untreeify方法则负责将红黑树转换为链表。TREEIFY_THRESHOLD和UNTREEIFY_THRESHOLD分别控制了链表和红黑树之间的转换阈值,而MIN_TREEIFY_CAPACITY则确保只有在HashMap的容量足够大时才进行树化操作。
通过这些规则和优化,JDK 8中的HashMap能够在面对大量哈希冲突时保持较高的性能,从而提升整体效率。
下面我们详细的一步步分析
构造函数分析
// 指定初始容量和负载因子的构造函数
public HashMap(int initialCapacity, float loadFactor) {
// 检查初始容量是否合法
if (initialCapacity < 0)
throw new IllegalArgumentException("Illegal initial capacity: " + initialCapacity);
// 如果初始容量大于最大容量,则将初始容量设置为最大容量
if (initialCapacity > MAXIMUM_CAPACITY)
initialCapacity = MAXIMUM_CAPACITY;
// 检查负载因子是否合法
if (loadFactor <= 0 || Float.isNaN(loadFactor))
throw new IllegalArgumentException("Illegal load factor: " + loadFactor);
this.loadFactor = loadFactor; // 设置负载因子
this.threshold = tableSizeFor(initialCapacity); // 设置扩容阈值
}
// 计算大于或等于cap的最小2的幂
static final int tableSizeFor(int cap) {
int n = cap - 1; // 减一是为了在n正好是2的幂时不增加
n |= n >>> 1; // 处理高1位
n |= n >>> 2; // 处理高2位
n |= n >>> 4; // 处理高4位
n |= n >>> 8; // 处理高8位
n |= n >>> 16; // 处理高16位
// 如果结果小于0,则返回1;如果结果大于最大容量,则返回最大容量;否则返回n+1
return (n < 0) ? 1 : (n >= MAXIMUM_CAPACITY) ? MAXIMUM_CAPACITY : n + 1;
}
结论: 1. 设定的阈值并不是真实的阈值,他会自动计算最接近你给的容量的2的幂次为容量 2. 所有的容量都是2的幂次
初始化
在上面的构造函数里只计算了数组的初始大小,并没有对数组进行初始化。当多个线程都往里面放入元素的时候,再进行初始化。这就存在一个问题:多个线程重复初始化。下面看一下是如何处理的。
/**
* 初始化表,使用记录在 sizeCtl 中的大小。
* @return 初始化后的桶数组
*/
private final Node<K,V>[] initTable() {
Node<K,V>[] tab; // 声明桶数组
int sc; // 声明 sizeCtl 临时变量
while ((tab = table) == null || tab.length == 0) { // 如果桶数组为空或长度为0
if ((sc = sizeCtl) < 0) // 如果 sizeCtl 小于0,表示正在初始化
Thread.yield(); // 让出CPU时间片,避免自旋等待
else if (U.compareAndSwapInt(this, SIZECTL, sc, -1)) { // 尝试将 sizeCtl 置为-1,表示正在初始化
try {
if ((tab = table) == null || tab.length == 0) { // 再次检查桶数组是否为空
int n = (sc > 0) ? sc : DEFAULT_CAPACITY; // 初始化容量为 sizeCtl 的值或默认容量
@SuppressWarnings("unchecked")
Node<K,V>[] nt = (Node<K,V>[])new Node<?,?>[n]; // 创建新的桶数组
table = tab = nt; // 将新桶数组赋值给 table
sc = n - (n >>> 2); // 计算新的 sizeCtl 值,即容量的0.75倍
}
} finally {
sizeCtl = sc; // 恢复 sizeCtl 的值
}
break; // 退出循环
}
}
return tab; // 返回初始化后的桶数组
}
详细解释
变量声明:
Node<K,V>[] tab:声明桶数组。int sc:声明临时变量,用于存储sizeCtl的值。
循环检查和初始化:
while ((tab = table) == null || tab.length == 0):检查桶数组是否为空或长度为0。如果是,则进入循环。if ((sc = sizeCtl) < 0):将sizeCtl的值赋给sc并检查是否小于0。如果sizeCtl小于0,表示当前有其他线程正在初始化桶数组,调用Thread.yield()让出CPU时间片,避免自旋等待。else if (U.compareAndSwapInt(this, SIZECTL, sc, -1)):尝试将sizeCtl的值从sc设置为-1,表示当前线程正在初始化。如果成功,进入try块。
实际初始化逻辑:
if ((tab = table) == null || tab.length == 0):再次检查桶数组是否为空或长度为0。int n = (sc > 0) ? sc : DEFAULT_CAPACITY:如果sizeCtl大于0,则使用sizeCtl的值作为初始容量;否则,使用默认容量DEFAULT_CAPACITY。@SuppressWarnings("unchecked") Node<K,V>[] nt = (Node<K,V>[])new Node<?,?>[n]:创建新的桶数组nt。table = tab = nt:将新创建的桶数组赋值给table和tab。sc = n - (n >>> 2):计算新的sizeCtl值,即容量的0.75倍。
恢复
sizeCtl值并退出循环:finally { sizeCtl = sc; }:在finally块中将sizeCtl恢复为新计算的值。break:退出循环。
返回初始化后的桶数组:
return tab:返回初始化后的桶数组。
通过上面的代码可以看到,多个线程的竞争是通过对sizeCtl进行CAS操作实现的。如果某个线程成功地把sizeCtl 设置为-1,它就拥有了初始化的权利,进入初始化的代码模块,等到初始化完成,再把sizeCtl设置回去;其他线程则一直执行while循环,自旋等待,直到数组不为null,即当初始化结束时,退出整个函数。因为初始化的工作量很小,所以此处选择的策略是让其他线程一直等待,而没有帮助其初始化。\
put实现分析
好的,下面是详细注释后的put和putVal方法的代码:
put 方法
/**
* 将指定的键与指定的值映射到此表中。
* 键和值都不能为空。
*
* <p>可以通过调用 {@code get} 方法并传入与原始键相等的键来检索该值。
*
* @param key 与指定值相关联的键
* @param value 与指定键相关联的值
* @return 与 {@code key} 关联的先前值,如果没有该键的映射关系,则返回 {@code null}
* @throws NullPointerException 如果指定的键或值为空
*/
public V put(K key, V value) {
return putVal(key, value, false); // 调用 putVal 方法实现
}
putVal 方法
/**
* 实现 put 和 putIfAbsent 的方法
* @param key 与指定值相关联的键
* @param value 与指定键相关联的值
* @param onlyIfAbsent 如果为 true,则仅当键未被映射时才插入值
* @return 与 {@code key} 关联的先前值,如果没有该键的映射关系,则返回 {@code null}
*/
final V putVal(K key, V value, boolean onlyIfAbsent) {
// 键和值不能为空
if (key == null || value == null) throw new NullPointerException();
// 计算键的哈希值
int hash = spread(key.hashCode());
int binCount = 0;
// 进入循环,处理桶数组
for (Node<K,V>[] tab = table;;) {
Node<K,V> f; int n, i, fh;
// 如果桶数组为空或长度为0,则初始化桶数组
if (tab == null || (n = tab.length) == 0)
tab = initTable();
// 计算索引,如果对应位置为空,则使用 CAS 操作插入新节点
else if ((f = tabAt(tab, i = (n - 1) & hash)) == null) {
if (casTabAt(tab, i, null, new Node<K,V>(hash, key, value, null)))
break; // 添加到空桶时不需要锁定
}
// 如果哈希值为 MOVED,表示正在扩容,协助迁移
else if ((fh = f.hash) == MOVED)
tab = helpTransfer(tab, f);
else {
V oldVal = null;
synchronized (f) { // 锁定桶中的第一个节点
if (tabAt(tab, i) == f) {
if (fh >= 0) {
binCount = 1;
// 遍历链表
for (Node<K,V> e = f;; ++binCount) {
K ek;
if (e.hash == hash && ((ek = e.key) == key || (ek != null && key.equals(ek)))) {
oldVal = e.val;
if (!onlyIfAbsent)
e.val = value;
break;
}
Node<K,V> pred = e;
if ((e = e.next) == null) {
pred.next = new Node<K,V>(hash, key, value, null);
break;
}
}
}
// 如果是树节点,插入或更新值
else if (f instanceof TreeBin) {
Node<K,V> p;
binCount = 2;
if ((p = ((TreeBin<K,V>)f).putTreeVal(hash, key, value)) != null) {
oldVal = p.val;
if (!onlyIfAbsent)
p.val = value;
}
}
}
}
// 如果桶中节点数不为0,则判断是否需要树化,并返回旧值
if (binCount != 0) {
if (binCount >= TREEIFY_THRESHOLD)
treeifyBin(tab, i);
if (oldVal != null)
return oldVal;
break;
}
}
}
// 更新计数,并进行必要的扩容
addCount(1L, binCount);
return null;
}
详细解释
put方法:- 调用
putVal方法来实现put操作。
- 调用
putVal方法:- 参数检查:
- 检查键和值是否为空,如果为空,则抛出
NullPointerException。
- 检查键和值是否为空,如果为空,则抛出
- 哈希计算:
- 计算键的哈希值。
- 循环处理桶数组:
- 进入循环,处理桶数组。
- 如果桶数组为空或长度为0,则初始化桶数组。
- 计算索引,如果对应位置为空,则使用CAS操作插入新节点。
- 如果哈希值为
MOVED,表示正在扩容,协助迁移。 - 如果桶中第一个节点的哈希值大于等于0,表示是链表,遍历链表,查找或插入节点。
- 如果是树节点,调用
putTreeVal方法处理树节点。
- 同步处理:
- 锁定桶中的第一个节点,防止并发修改。
- 树化处理:
- 判断链表长度是否超过阈值,超过则树化。
- 更新计数:
- 调用
addCount方法更新计数,并进行必要的扩容。
- 调用
- 参数检查:
这段代码的主要功能是将键值对插入到ConcurrentHashMap中,并在必要时进行扩容和树化处理,以提高性能和存储效率。
上面的for循环有4个大的分支: 第1个分支,是整个数组的初始化,前面已讲; 第2个分支,是所在的槽为空,说明该元素是该槽的第一个元素,直接新建一个头节点,然后返回; 第3个分支,说明该槽正在进行扩容,帮助其扩容; 第4个分支,就是把元素放入槽内。槽内可能是一个链表,也可能是一棵红黑树,通过头节点的类型可以判断是哪一种。第4个分支是包裹在synchronized (f)里面的,f对应的数组下标位置的头节点,意味着每个数组元素有一把锁,并发度等于数组的长度。
上面的binCount表示链表的元素个数,当这个数目超过TREEIFY_THRESHOLD=8时,把链表转换成红黑树,也就是treeifyBin(tab,i)函数。但在这个函数内部,不一定需要进行红黑树转换,可能只做扩容操作,所以接下来从扩容讲起。


